문제 설명
n개의 노드가 있는 그래프가 있습니다. 각 노드는 1부터 n까지 번호가 적혀있습니다. 1번 노드에서 가장 멀리 떨어진 노드의 갯수를 구하려고 합니다. 가장 멀리 떨어진 노드란 최단경로로 이동했을 때 간선의 개수가 가장 많은 노드들을 의미합니다.
노드의 개수 n, 간선에 대한 정보가 담긴 2차원 배열 vertex가 매개변수로 주어질 때, 1번 노드로부터 가장 멀리 떨어진 노드가 몇 개인지를 return 하도록 solution 함수를 작성해주세요.
제한사항
- 노드의 개수 n은 2 이상 20,000 이하입니다.
- 간선은 양방향이며 총 1개 이상 50,000개 이하의 간선이 있습니다.
- vertex 배열 각 행 [a, b]는 a번 노드와 b번 노드 사이에 간선이 있다는 의미입니다.
입출력 예
| n | vertex | return |
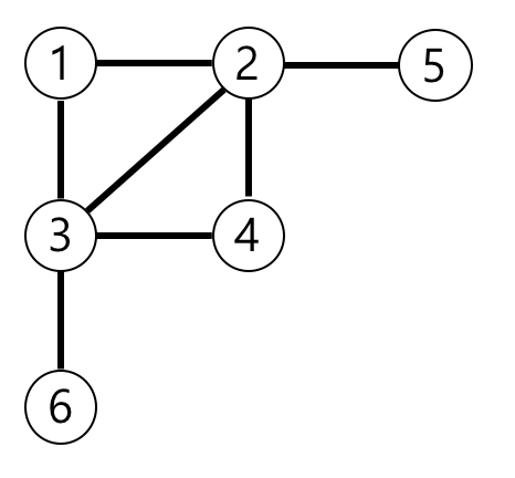
| 6 | [[3, 6], [4, 3], [3, 2], [1, 3], [1, 2], [2, 4], [5, 2]] | 3 |
입출력 예 설명
예제의 그래프를 표현하면 아래 그림과 같고, 1번 노드에서 가장 멀리 떨어진 노드는 4,5,6번 노드입니다.

풀이
정말 정말 푸는데 시간이 많이 걸렸다. 처음에는 다익스트라 알고리즘으로 구현했는데 [5, 2]는 있지만 [2, 5]가 주어지지 않아 5번이 그래프에 연결되지 않아서 틀렸었다. 그렇다고 양방향으로 연결된 엣지들의 정보를 담은 배열을 새로 만들어 풀자니 시간초과가 뜰것 같았다. 그래서 bfs로 새로 구현했는데 테케 7, 8, 9번이 시간초과가 떴었다....
정말...어떻게 할까 고민하다가 이차원 벡터인 link를 bfs의 매개변수에 넣지 않고 전역변수로 선언했더니 통과했다.
통과했어도 시간이 너무 오래걸려서 코드를 고쳐야할 것 같지만..나중에 고쳐야지...
#include <string>
#include <vector>
#include <queue>
#include <algorithm>
#include <iostream>
using namespace std;
vector<vector<int>> link;
void bfs(vector<int> &distance, queue<int> need_visit, vector<int> visited) {
queue<int> temp;
while(!need_visit.empty()) {
int vertex = need_visit.front();
need_visit.pop();
for(int i=1; i<link[vertex].size(); i++) {
if(link[vertex][i] == 1 && visited[i] == 0) {
temp.push(i);
distance[i] = distance[vertex]+1;
visited[i] = 1;
}
}
}
if(!temp.empty())
bfs(distance, temp, visited);
}
int solution(int n, vector<vector<int>> edge) {
int answer = 0, max;
vector<int> distance(n+1, 0);
vector<int> visited(n+1, 0);
queue<int> need_visit;
link.assign(n+1, vector<int>(n+1, 0));
need_visit.push(1);
visited[1] = 1;
for(auto elem : edge){
link[elem[0]][elem[1]] = 1;
link[elem[1]][elem[0]] = 1;
}
bfs(distance, need_visit, visited);
max = *max_element(distance.begin(), distance.end());
for(auto elem : distance) {
if(elem == max)
answer++;
}
return answer;
}'알고리즘 > 프로그래머스 문제풀이' 카테고리의 다른 글
| [프로그래머스] 압축 / C++ (0) | 2020.08.27 |
|---|---|
| [프로그래머스] 멀쩡한 사각형 / C++ (0) | 2020.08.27 |
| [프로그래머스] 더 맵게 / C++ (0) | 2020.08.26 |
| [프로그래머스] 등굣길 / C++ (0) | 2020.08.26 |
| [프로그래머스] 체육복 / C++ (11번 케이스만 틀리는 경우) (0) | 2020.08.26 |